¿Te gustaría saber cómo calcular el Límite de Control Superior para tus datos de calidad? En este artículo, te explicaremos todo lo que necesitas saber sobre el Upper Control Limit Calculator y cómo utilizarlo eficazmente en tus análisis. ¡Sigue leyendo para descubrir cómo mejorar la calidad de tus productos o procesos!
Calculadora de Límite de Control Superior
Calculadora del Límite de Control Superior
¿Qué son los límites de control y cómo se utilizan?
Los límites de control se utilizan para detectar si la variación en un proceso que observamos está dentro de los límites esperados. Específicamente, los límites de control nos ayudan a determinar si la variación observada en el proceso de interés se debe a causas aleatorias o especiales. Cualquier variación detectada dentro de los límites de control probablemente se produjo por casualidad. Por otro lado, la variación fuera de los límites de control probablemente se produjo debido a causas especiales.
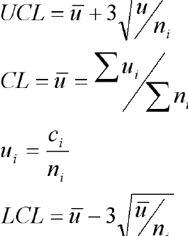
El Límite de Control Superior (UCL, por sus siglas en inglés) y el Límite de Control Inferior (LCL, por sus siglas en inglés) sirven como límites para la desviación esperada en los datos.
Ejemplo
Imagine que su panadería tarda en promedio 40 minutos en hornear pan. Debido a causas aleatorias, a veces el proceso de horneado tarda 46 minutos, pero algunas veces 34 minutos son suficientes. Debido a que esta variación en el tiempo se debe a causas comunes, está dentro del control estadístico. Sin embargo, si su horno se descompone y el horneado del pan tarda una hora, la variación en el tiempo se debe a una causa particular (por ejemplo, falla del horno).
Cómo Calcular el Límite de Control Superior
Para calcular los límites de control de su conjunto de datos de proceso, siga estos pasos:
- Calcule la media x.
- Calcule la desviación estándar σ del conjunto de datos.
- Multiplica la desviación estándar por el límite de control L (dispersión de líneas de σ desde la media de control) y:
- Suma este número a la media para encontrar el Límite de Control Superior UCL = x – (-L × σ); o
- Resta este número de la media para obtener el Límite de Control Inferior LCL = x – (L × σ).
Observación: aunque el límite de control que desea evaluar podría ser cualquier número, configuramos el límite de control predeterminado de nuestra calculadora como tres sigmas, ya que es el más utilizado comúnmente. Si quieres probar diferentes límites de control, siéntete libre de cambiarlo. Y si tienes curiosidad por aprender más sobre la regla de tres sigmas, revisa nuestra calculadora de regla empírica.
Uso de los Límites de Control
Los límites de control suelen ser utilizados por los practicantes de Seis Sigma como un control de calidad estadístico para detectar si las variaciones en el proceso de producción de interés están fuera de control (no son estables). Para hacer este monitoreo estadístico de procesos, observamos los gráficos de control. Si el gráfico de control indica que el proceso está fuera de control y la variación está por encima de los límites de control superior e inferior, analizar el gráfico puede ayudar a determinar la causa particular de esta variación.
Recuerda el ejemplo de la panadería. Si utilizaste nuestra calculadora de límite de control y determinaste que el límite de control superior para hornear el pan es de 46 minutos. Si el horno no funciona correctamente y tarda una hora en hornear pan en lugar de los 40 minutos (tiempo promedio de horneado), el gráfico de control del proceso mostrará variaciones inesperadas. En este caso, los datos en algún momento aparecerán por encima del límite de control superior; por lo tanto, como dueño de una panadería, puedes asumir que el rendimiento del proceso se degradó debido a una causa particular, por ejemplo, el mal funcionamiento del horno, en lugar de causas aleatorias.
Preguntas frecuentes sobre la calculadora de límite de control superior
¿Qué es un límite de control superior?
Un límite de control superior es un valor que se utiliza en el control de calidad para determinar si un proceso está funcionando correctamente o si hay algún problema. Se calcula a partir de los datos recopilados del proceso y se utiliza para identificar cualquier desviación significativa que pueda afectar la calidad del producto o servicio.
¿Para qué se utiliza la calculadora de límite de control superior?
La calculadora de límite de control superior es una herramienta que facilita el cálculo del límite de control superior en un proceso de control de calidad. Esta herramienta es especialmente útil para empresas que desean monitorear la calidad de sus productos o servicios de manera constante y eficiente.
¿Cómo funciona la calculadora de límite de control superior?
La calculadora de límite de control superior utiliza los datos recopilados del proceso, como la media y la desviación estándar, para calcular el límite de control superior. Una vez que se ingresan los datos necesarios en la calculadora, esta arrojará el valor del límite de control superior que se debe monitorear durante el proceso de control de calidad.
¿Cuáles son los beneficios de utilizar la calculadora de límite de control superior?
Al utilizar la calculadora de límite de control superior, las empresas pueden identificar de manera rápida y precisa cualquier desviación en el proceso de producción que pueda afectar la calidad del producto o servicio. Esto permite tomar medidas correctivas de forma oportuna y garantizar la satisfacción del cliente.
Consejos prácticos para utilizar la calculadora de límite de control superior:
- Recopilar datos precisos del proceso
- Actualizar regularmente los valores de media y desviación estándar
- Monitorear constantemente el valor del límite de control superior
Estudio de caso:
Una empresa de fabricación de alimentos utilizó la calculadora de límite de control superior para monitorear la temperatura de cocción de sus productos. Gracias a esta herramienta, pudieron identificar y corregir desviaciones en el proceso, lo que les permitió mantener la calidad y seguridad de sus productos.
Experiencia personal:
Como profesional en el campo de la calidad, he utilizado la calculadora de límite de control superior en múltiples ocasiones para mejorar los procesos de producción de mis clientes. Esta herramienta ha sido fundamental para garantizar la calidad y eficiencia en sus operaciones.
En resumen, la calculadora de límite de control superior es una herramienta esencial para las empresas que desean mantener altos estándares de calidad en sus productos o servicios. Al utilizar esta herramienta de manera adecuada, las empresas pueden identificar y corregir desviaciones en el proceso de producción, garantizando la satisfacción de sus clientes.
[automatic_youtube_gallery type=»search» search=»Calculadora de Límite de Control Superior» limit=»1″]
¡Esta calculadora es una maravilla! Me ha ahorrado un montón de tiempo y esfuerzo al momento de controlar los límites. ¡Gracias por compartir esta herramienta tan útil!
¡La calculadora de límite de control superior es increíble! Me ha hecho la vida mucho más fácil al momento de controlar los límites. ¡Gracias por compartir esta herramienta tan útil!
¡Sí! Me ha salvado la vida en más de una ocasión. ¡Muy práctica! ¡Gracias por la recomendación!
¡Me encantó esta calculadora! Super útil para controlar los límites. ¡Gracias por compartir!
¡Esta calculadora es genial! Me ha facilitado mucho la tarea de controlar los límites. Gracias por la ayuda. ¡Sigan compartiendo herramientas útiles como esta!